Gemeinderatsprotokolle seit 2002

Jahr: 2025

/ Ausgabe: 2025_01_23_gr_protokoll.pdf

- S.136

Suchen und Blättern in über 500 PDFs und 44.000 Seiten.





vorhergehende ||| nächste Seite im Dokument

Zur letzten Suche
Diese Ausgabe – 2025_01_23_gr_protokoll.pdf
Ausgaben dieses Jahres – 2025
Alle Ausgaben

Dieses Bild anzeigen/herunterladen
Gesamter Text dieser Seite:
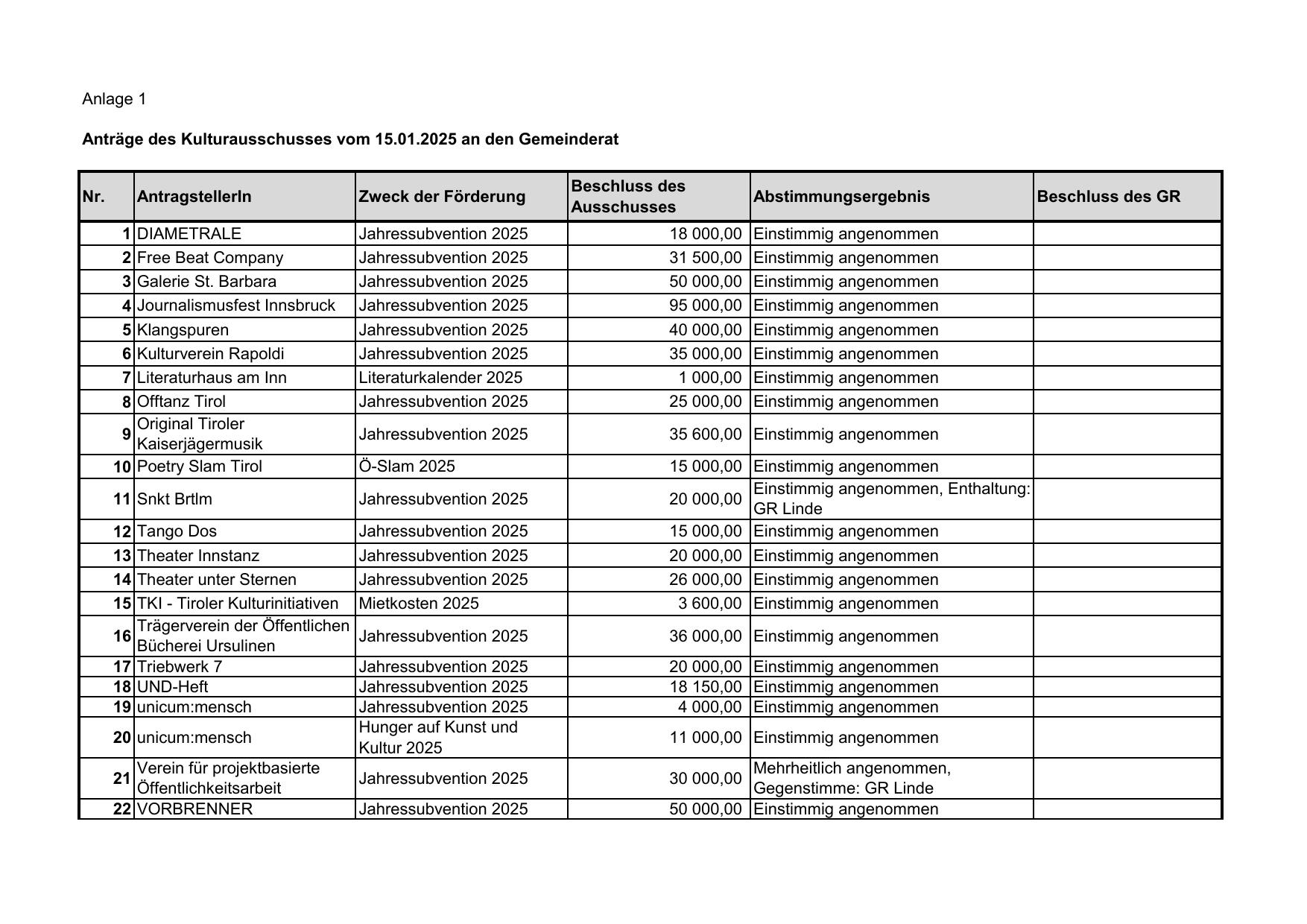
Anlage 1
Anträge des Kulturausschusses vom 15.01.2025 an den Gemeinderat

Nr.

AntragstellerIn

Zweck der Förderung

Beschluss des
Ausschusses

Abstimmungsergebnis

1 DIAMETRALE
2 Free Beat Company
3 Galerie St. Barbara
4 Journalismusfest Innsbruck
5 Klangspuren
6 Kulturverein Rapoldi
7 Literaturhaus am Inn
8 Offtanz Tirol
Original Tiroler
9
Kaiserjägermusik
10 Poetry Slam Tirol

Jahressubvention 2025
Jahressubvention 2025
Jahressubvention 2025
Jahressubvention 2025
Jahressubvention 2025
Jahressubvention 2025
Literaturkalender 2025
Jahressubvention 2025

18 000,00 Einstimmig angenommen
31 500,00 Einstimmig angenommen
50 000,00 Einstimmig angenommen
95 000,00 Einstimmig angenommen
40 000,00 Einstimmig angenommen
35 000,00 Einstimmig angenommen
1 000,00 Einstimmig angenommen
25 000,00 Einstimmig angenommen

Jahressubvention 2025

35 600,00 Einstimmig angenommen

Ö-Slam 2025

11 Snkt Brtlm

Jahressubvention 2025

15 000,00 Einstimmig angenommen
Einstimmig angenommen, Enthaltung:
20 000,00
GR Linde
15 000,00 Einstimmig angenommen
20 000,00 Einstimmig angenommen
26 000,00 Einstimmig angenommen
3 600,00 Einstimmig angenommen

Jahressubvention 2025
12 Tango Dos
Jahressubvention 2025
13 Theater Innstanz
Jahressubvention 2025
14 Theater unter Sternen
15 TKI - Tiroler Kulturinitiativen Mietkosten 2025
Trägerverein der Öffentlichen
Jahressubvention 2025
16
Bücherei Ursulinen
Jahressubvention 2025
17 Triebwerk 7
Jahressubvention 2025
18 UND-Heft
Jahressubvention 2025
19 unicum:mensch
Hunger auf Kunst und
20 unicum:mensch
Kultur 2025
Verein für projektbasierte
Jahressubvention 2025
21
Öffentlichkeitsarbeit
Jahressubvention 2025
22 VORBRENNER

36 000,00 Einstimmig angenommen
20 000,00 Einstimmig angenommen
18 150,00 Einstimmig angenommen
4 000,00 Einstimmig angenommen
11 000,00 Einstimmig angenommen
Mehrheitlich angenommen,
Gegenstimme: GR Linde
50 000,00 Einstimmig angenommen
30 000,00

Beschluss des GR