Gemeinderatsprotokolle seit 2002

Jahr: 2025

/ Ausgabe: 2025_03_27_protokoll_ges.pdf

- S.148

Suchen und Blättern in über 500 PDFs und 44.000 Seiten.





vorhergehende ||| nächste Seite im Dokument

Zur letzten Suche
Diese Ausgabe – 2025_03_27_protokoll_ges.pdf
Ausgaben dieses Jahres – 2025
Alle Ausgaben

Dieses Bild anzeigen/herunterladen
Gesamter Text dieser Seite:
Rechnungslegung und -bezahlung die vereinbarten Leistungen somit noch nicht
vollständig erbracht waren.
Zum anderen war im Angebot vom 24.11.2020 im Rahmen der Zahlungsbedingungen eine Teilzahlungsvereinbarung festgeschrieben. Dabei war eine erste
60 %ige Teilzahlung bei Auftragserteilung vorgesehen. Eine zweite 40 %ige
Restzahlung war bei Zusendung der Zugangsdaten zum Backend vereinbart.
Auf Basis des vorliegenden Angebotes vom 24.11.2020 war die prompte Bezahlung
des Gesamtbetrages für den Stadtrechnungshof nicht nachvollziehbar.
Der Stadtrechnungshof empfiehlt dem Amt für Allgemeine Sicherheit und Veranstaltungen der MA II als zahlungsausführende Fachdienststelle, künftig vereinbarte
(Teil-)Zahlungsbedingungen im Vollzug jedenfalls einzuhalten. Keinesfalls sollten
Rechnungen entgegen fixierter Teilzahlungsvereinbarungen bereits vor vollständiger Leistungserbringung gänzlich beglichen werden.
Reaktion im Anhörungsverfahren:
Magistratsabteilung II/Amt für Allgemeine Sicherheit und Veranstaltungen
„Die Empfehlung des Stadtrechnungshofes wird im Amt entsprechend umgesetzt.
Sollten zukünftig Rechnungen mit Teilzahlungsvereinbarungen zu bearbeiten sein.
Seit der Übernahme des Amtes durch den derzeitigen Amtsvorstand im Dezember
2023 sind keine derartigen Rechnungen angefallen.“

4.4.4 Abnahmebestätigung
39

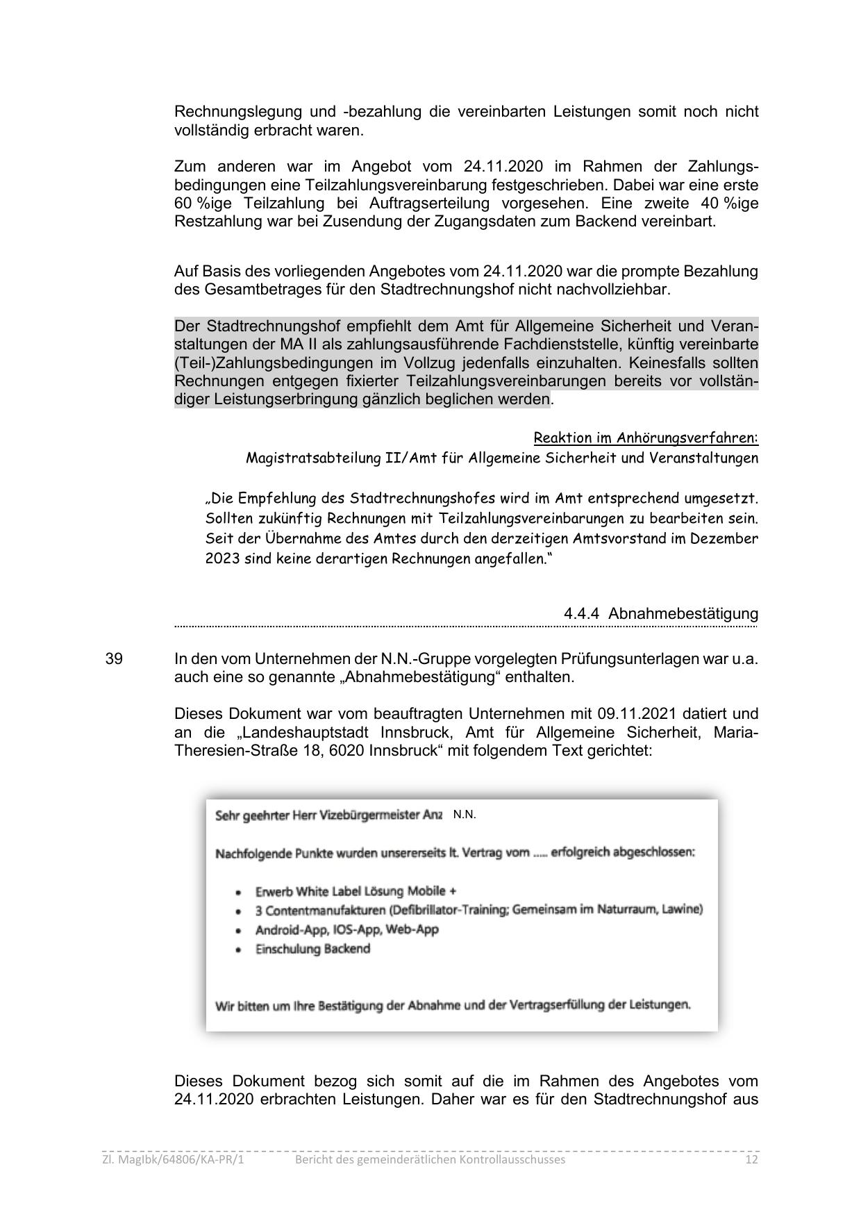
In den vom Unternehmen der N.N.-Gruppe vorgelegten Prüfungsunterlagen war u.a.
auch eine so genannte „Abnahmebestätigung“ enthalten.
Dieses Dokument war vom beauftragten Unternehmen mit 09.11.2021 datiert und
an die „Landeshauptstadt Innsbruck, Amt für Allgemeine Sicherheit, MariaTheresien-Straße 18, 6020 Innsbruck“ mit folgendem Text gerichtet:

er N.N.
Sehr geehrter Herr VizebürgermeistAnz

Nachfolgende Punkte wurden unsererseits It. Vertrag vom ..... erfolgreich abgeschlossen;
Erwerb White Label Lösung Mobile +

3 Contentmanufakturen (Defibrillator-Training; Gemeinsam im Naturraum, Lawine)
Android-App, 10S-App, Web-App
Einschulung Backend

Wir bitten um Ihre Bestätigung der Abnahme und der Vertragserfüllung der Leistungen.

Dieses Dokument bezog sich somit auf die im Rahmen des Angebotes vom
24.11.2020 erbrachten Leistungen. Daher war es für den Stadtrechnungshof aus

Zl. MagIbk/64806/KA-PR/1

Bericht des gemeinderätlichen Kontrollausschusses

12